利用三角函数得出任意一个正有理数
给定实数x,一步操作可选择将其变为sin(x),cos(x),tan(x),arcsin(x),arccos(x),arctan(x),初始时x=0,求证对于任意的正有理数q,可经过有限次操作后使x=q。据说是美国数学奥林匹克的一道题
构造非常巧妙:
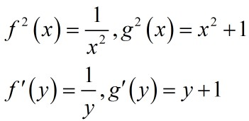
1.构造函数f(x)=1/x,x为任意非零实数,小证一下:

2.构造函数g(x)=√(x^2+1),x为正实数:

接下来的步骤就神奇了。我们假设在操作过程中,y总等于x的平方。对x进行操作,看看y值如何变化:

这样可以完成对y的取倒数和加1工作,将g’(y)迭代多次可以将y加任意一个正整数。还要注意一点:使用f,g函数时,x始终为正实数,这样保证了x与y一一对应。初始时y=0,目标y=q^2,而q^2显然是有理数,设q^2=u/v,u,v为互质正整数,我们可以利用辗转相除的思想。
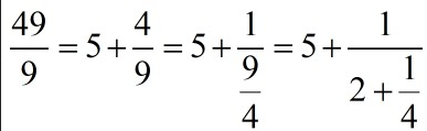
不妨举个例子:目标(y)为49/9。

可以看到,实际上我们把49/9化为了有限连分数,我们的操作顺序就很清楚了:用4次g函数,取倒数,用2次g函数,取倒数,用5次g函数即可,得到y=49/9,相应地x=7/3。
问题已经得到解决,并且我们还可以得出任意正有理数的算术平方根。
本博客所有文章除特别声明外,均采用 CC BY-NC-SA 4.0 许可协议。转载请注明来源 Rick!
评论


